

Eignungsprüfung und Übertritt für Klassenstufe 9
Ziel dieser Eignungsprüfung ist es, aus einer großen Bewerberzahl die ca. 60 geeigneten Schülerinnen für die Weiterführung am Carl-Zeiss-Gymnasium in den Klassenstufen 9-12 auszuwählen. Die Bewerber/innen setzen sich dabei sowohl aus den Schüler/innen unserer Schule (Klassen 8) als auch externen Bewerber/innen zusammen. Die Bewertung erfolgt nach bestimmten Testkriterien, die neben den fachlichen Ergebnissen auch Aspekte wie Motivation, soziale Kompetenzbereiche sowie die Teilnahme an relevanten Fach-Olympiaden berücksichtigen.
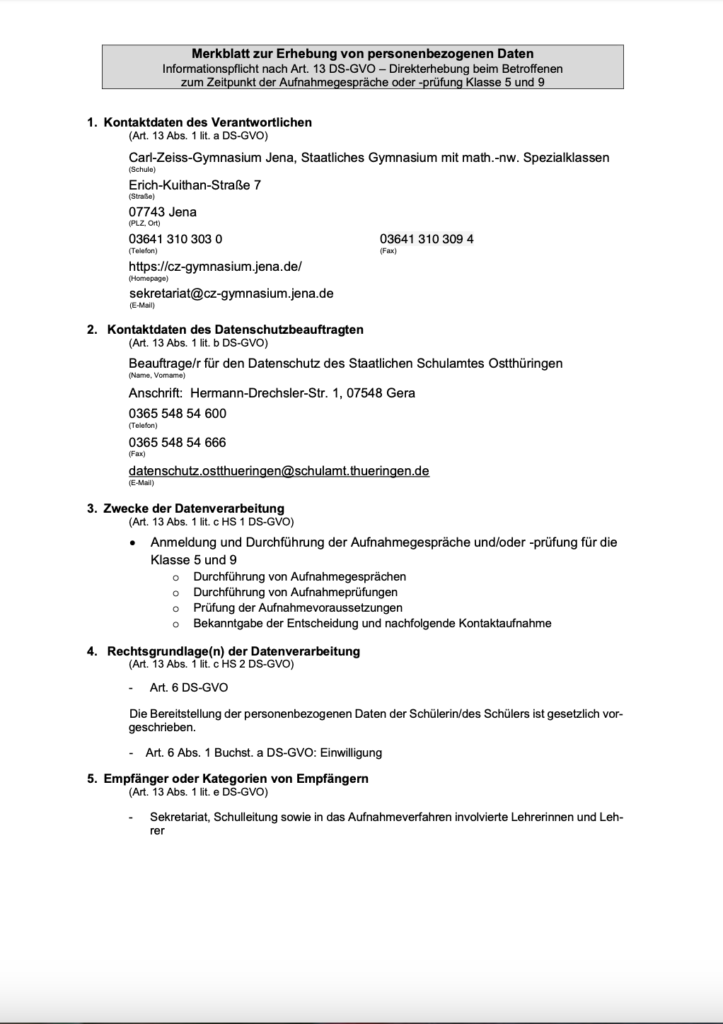
Eine Klassenelternversammlung für die Klassenstufe 8 findet am 28. Januar 2026 um 18:00 Uhr im Raum E302 [Regionalzentrum] statt. Bis zum 27. Februar 2026 müssen sich alle Bewerber/innen für das Auswahlverfahren anmelden. Die Anmeldung muss postalisch erfolgen. Den Anmeldebogen, die Information zur Eignungsprüfung und das Merkblatt zur Informationspflicht nach § 13 DS-GVO finden Sie hier:



Die erste Prüfung erfolgt schriftlich. Diese findet am Samstag, 7. März 2026 von 09:00 bis 13:00Uhr statt.
Die schriftliche Prüfung im Fach Mathematik ist obligatorisch:
| Mathematik | 60 Minuten |
Zwei weitere schriftliche Prüfungen sind wahlobligatorisch:
| Biologie | 45 Minuten |
| Chemie | 45 Minuten |
| Physik | 45 Minuten |
Die zweite Prüfung erfolgt mündlich. Die mündliche Prüfung findet am Samstag, 28. März 2026 statt.
Die Ergebnisse der zweiten Prüfung werden mit den Ergebnissen der ersten Prüfung zusammengefasst und eine Rangfolge erstellt. Sie bildet die Grundlage für die Auswahl der Schülerinnen und Schüler.
Die endgültige Festlegung zur Aufnahme in die höheren Klassenstufen wird bis spätestens Ende April des Jahres den Schülerinnen und Schüler sowie den Eltern mitgeteilt.
Erfahrungen zur Eignungsprüfung
Felix
[9. bis 12. Klasse, in der Oberstufe Informatik mit sechs Wochenstunden]
Eine der ersten Fragen nach meinem Schulwechsel war immer : „Und? Wie ist es dort in Jena?“ Im Laufe der letzten 4 Jahre hatte ich immer verschiedene Antworten parat. Jetzt neigt sich meine Zeit dem Ende zu, da lohnt es sich einen abschließenden Rückblick vorzunehmen:An meiner alten Schule wurde weder aktiv Werbung für das Zeiss gemacht, noch hat man von Ehemaligen gehört. Und trotzdem haben mich die Informationen über diese Schule irgendwie erreicht. Und wer einmal von der Möglichkeit eines Schulwechsels erfahren hat, startet in die schlimme Phase der Entscheidung. Ehrlich gesagt hoffte ich damals, durch die Aufnahmeprüfung zu fallen, um der Entscheidung aus dem Weg zu gehen. Es gab für mich eigentlich keinen Grund für einen Schulwechsel. In meiner Klasse und in meinem Heimatort war ich gut integriert. Der Unterricht fiel mir leicht, gerade in Mathe grenzte das an Langeweile. Aber welcher Teenager freut sich nicht über gute Noten UND mehr Freizeit? Und trotzdem gab es jetzt die Aussicht auf ‚etwas besseres‘. Oft wurde mir gesagt, ich würde mich in jeder negativen Situation ärgern, die einmalige Chance nicht wahrgenommen zu haben. Von diesem Rat habe ich mich letztendlich leiten lassen. Wie kann man von 14-jährigen Teenagern erwarten, einen so schwerwiegenden Entschluss zu fassen? Dabei ist es nicht nur eine Entscheidung für eine umfassende Förderung der MINT-Fächer, die an dieser Stelle positiv erwähnt sei. Nicht nur achten die motivierten Lehrkräfte auf individuelle Förderung, sodass sich niemand langweilen muss. Sondern auch das Lernklima ist einzigartig, da der Großteil an dieser Schule ist, um mehr als gefordert zu lernen. Gerade die wissenschaftlichen Arbeitstechniken sind etwas, das ich vermutlich an meiner alten Schule nicht gelernt hätte.Es ist damit aber auch eine Entscheidung für weniger Freizeit im Verhältnis zu deutlich mehr Leistungsdruck und größerer Anstrengung, die bisherigen Noten aufrecht zu erhalten. Stellen Sie sich eine Klasse vor, die zu großen Teilen aus Schüler*innen besteht, die man an anderen Schulen als klassische Streber bezeichnet: hochmotiviert und besonders ehrgeizig, wettbewerbsorientiert und oft auf sich selbst fokussiert. Gerade bei Projektarbeiten und freiwilligen Aufgaben sind Fleiß, Engagement und Motivation maßlos. Es wird sich gegenseitig ‚hochgeschaukelt‘. Unausgesprochenes Ziel: die maximalen 15 Punkte noch zu überbieten. Aber das gehört zum Leitbild einer solchen Schule, oder nicht? Und zu welchem Preis?Wenn sich unsere Eltern an ihre Schulzeit erinnern, dann schwärmen sie wohl kaum vom guten Matheunterricht, sondern eher von Streichen an die Lehrer, der Klassengemeinschaft oder von kleinen Aufmüpfigkeiten. Durch den Lernwillen und Ehrgeiz der Meisten bleibt letzteres oft auf der Strecke, obwohl es doch die Aktivitäten sind, die nachhaltig ‚zusammenschweißen‘ und für immer in Erinnerung bleiben.An dieser Stelle möchte ich die Gemeinschaft des Internats noch einmal Positiv hervorheben. Hier ist man quasi gezwungen, die Nachmittage gemeinsam zu verbringen. Und was kommt wohl dabei raus, wenn geballte Jugend aufeinander trifft? – Erinnerungen, die ich ewig behalte. Nebenbei gewinnt man Einiges an Selbstständigkeit. Auch meine neue Klasse hat mich damals sehr herzlich empfangen, doch war der Verbund immer schwächer als im Internat. Es war auch schwer, wirklich enge Freundschaften aufzubauen. Wenn man noch nach Hause fahren will, dann verpasst man die Freizeitaktivitäten am Wochenende, die wohl für Schulfreundschaften am prägendsten sind. Zum Klassenbild gehört man früher oder später dazu, aber zu den einzelnen Freundesgruppen, die sich eben auch außerschulisch gelegentlich treffen, fehlt mir der Anschluss größtenteils. Man hat eben schon zu viel verpasst und außerdem besteht auch immer der Konflikt zu alten Schulfreunden, deren Kontakt man auch zu halten versucht.Denn, oft vernachlässigt, ist es auch der Entschluss, alle bisherige Vereinsaktivität, Klassenkameraden und nicht zuletzt auch die Teilnahme am Familienleben größtenteils hinter sich zu lassen. Wer quasi jede Woche auf Klassenfahrt fährt, kriegt zu Hause wenig mit. Es fällt sicherlich einigen leicht, sozialen Aktivitäten des Heimatortes in das sowieso schon zu kurze Wochenende zu stopfen und sich die Woche über ein völlig neues Leben aufzubauen. Mir aber nicht.Zusammenfassend gab es in meinen vier Jahren sowohl Hochs, als auch Tiefs. Ob sich meine erworbene Schulbildung in Zukunft zu Nutze macht, werde ich wohl erst in einigen Jahren beurteilen können. Ob es die richtige Entscheidung war? Auch das kann ich nicht beantworten, kenne ich doch nur den Weg, den ich gegangen bin. Ich wäre an meiner alten Schule durchaus einfacher durch die letzten vier Jahre gekommen, hätte allerdings einiges an Selbstständigkeit, ‚Speziwissen‘ und wissenschaftlicher Arbeitstechniken nicht erlernen dürfen.
Pauline
[9. bis 12. Klasse, in der Oberstufe Physik mit sechs Wochenstunden]
Seit ich auf ein Gymnasium gehe, hat mir der Mathematik- und Naturwissenschaftsunterricht immer mit am besten gefallen. Von zwei ehemaligen Schülerinnen meiner alten Schule, die wie ich in der 9. Klasse gewechselt sind, habe ich vom Carl-Zeiss-Gymnasium erfahren. Daraufhin habe ich mich, zunächst etwas unentschlossen, entschieden die Eignungsprüfung zu schreiben und mich zu entscheiden, wenn ich bestanden hatte.
Objektiv gesehen, gab es für mich keinen Grund zu wechseln. Ich hatte gute Noten, kam mit dem Großteil meines Jahrgangs aus und hatte einige wenige, aber enge und treue Freunde (zu den ich größtenteils auch heute in der 12. Klasse noch regelmäßigen Kontakt habe). Es war also nicht so, dass ich Probleme an meiner Schule hatte und deswegen unbedingt weg wollte. Es gab allerdings auch nicht so viel, was mich dort gehalten hat, deshalb stand nach der Bestätigung meiner Annahme am Zeiss-Gymnasium die Entscheidung mehr oder weniger fest. Ich mochte die Aussicht darauf, meine Interessen im MINT-Bereich intensiver in der Schule ausleben zu können. Denn diese wurden leider nur von den Wenigsten meiner damaligen MitschülerInnen geteilt. Deshalb war der Unterricht für mich zum Teil sehr einseitig und langweilig.
Aber dennoch war der Schulwechsel natürlich ein emotionales Erlebnis durch den Abschied von den Freunden und die Ankunft in einer Klasse, in der man niemanden wirklich kennt. Nichtsdestotrotz hatte ich das Gefühl erwartungsvoll und freudig in Empfang genommen worden zu sein. Generell habe ich die Atmosphäre und den Umgang der SchülerInnen und der Lehrkräfte untereinander hier als freundlicher und offener empfunden. Ich kann nicht genau sagen, ab wann ich so wirklich in der Klasse integriert war. Ich habe mich irgendwie wohler gefühlt, als es an meiner alten Schule der Fall war, einfach weil man unter Gleichgesinnten mit ähnlichen Gesprächsthemen ist. Dadurch ist auch der Unterricht anders. Es herrscht ein meiner Meinung nach deutlich angenehmeres Lernklima, weil alle motivierter sind und ein allgemeines Interesse am Unterricht besteht. Der Unterricht ist anders als früher, aber besser. Am Anfang natürlich etwas gewöhnungsbedürftig, wie immer in einer neuen Umgebung, und auch schwierig. Aber zumindest konnte ich nach wenigen Monaten den Vorsprung meiner MitschülerInnen, z.B. in Informatik, aufholen und meine Noten sind auch nicht wirklich schlechter geworden. In manchen Fächer z.B. Physik und Chemie war ich tatsächlich schon etwas weiter im Stoff, weshalb ich angenehmerweise mit einer Wiederholung im neuen Umfeld einsteigen konnte.
Wie die meisten „Dazugestoßenen“ wohne ich die Woche über im Internat. Dort zusammen mit anderen, auch älteren, SchülerInnen zu wohnen kann sehr bereichernd sein, z.B. um von den Erfahrungen der Älteren zu lernen und Kontakte zu knüpfen. Auch ist es einfach super praktisch, mit einigen seiner KlassenkameradInnen Tür an Tür oder im selben Zimmer zu wohnen um sich schnell auszutauschen oder Gruppenarbeiten zusammen zu machen. Und es gibt fast niemanden, der einen so kurzen Schulweg hat wie wir. Im Internat wird man selbständiger und ich denke auch selbstbewusster. Für mich war das Leben im Internat – rückblickend betrachtet – ein sehr essentieller Schritt in meiner Persönlichkeit- und Sozialkompetenzentwicklung. Aus meinem Heimatdorf war ich die Einzige, die auf das Gymnasium gegangen ist, weshalb ich außerhalb der Schule nie viel Zeit mit anderen verbracht habe. Ich denke, wenn ich dortgeblieben wäre, würde mir heute einiges an Reife fehlen und ich hätte mich nicht zu dem Menschen entwickelt, der ich bin.
Ich will nicht bestreiten, dass der Unterricht am Zeiss ganz schön anstrengend sein kann und man sich unter so vielen schlauen Leuten manchmal ganz schön unter Druck gesetzt fühlt. Deshalb sollte man sich wirklich bewusst dafür entscheiden, etwas mehr Zeit aufwenden und sich spezifiziert auf den MINT-Bereich weiterbilden zu wollen. Aber wenn man diesen Anspruch an sich hat, dann bietet die Schule einem dafür sehr gute Möglichkeiten. Ich habe jedenfalls in den vier Jahren hier nie mit dem Gedanken gespielt, zurückzugehen. Sicherlich hätte ich an meiner alten Schule ebenfalls vier weitere gute Jahre verbracht und diese mit einem zufriedenstellenden Abitur verlassen. Wenn ich jedoch erneut vor der Entscheidung eines Schulwechsels stünde, dann würde ich mich definitiv noch einmal genau so entscheiden wie damals.
Jannik
[9. bis 12. Klasse, in der Oberstufe Informatik mit sechs Wochenstunden]
Am Anfang der 8. Klasse hörte ich durch einen Vortrag ehemaliger SchülerInnen meiner damaligen Schule zum ersten Mal vom Carl-Zeiss-Gymnasium in Jena. Diese berichteten allerdings nicht nur vom Schulleben und Internat, sondern auch von der Eignungsprüfung. Obwohl ich mir über einen Schulwechsel noch nicht im Klaren war, bin ich zur Prüfung angetreten. Das Ziel: Herausfinden, ob ich mit den anderen Schülern mithalten kann. Als dann per Post die Zusage zur Aufnahme kam, habe ich mich schlussendlich für einen Wechsel entschieden, um „zu probieren, wie es dort ist“, mit der Möglichkeit, wieder zur alten Schule zurückzukehren. Sowieso hatte ich mehr Interesse an MINT-Fächern als an anderen, was zu meiner Vorstellung vom Zeiss passte.
Angekommen in der 9. Klasse, fühlte ich mich nicht wirklich zur neuen Klasse zugehörig, was sich leider bis zur Auflösung der Klasse durch das Kurssystem der Oberstufe nicht änderte. Durch einige wenige wertvolle neue Freundschaften und mitgekommene Klassenkameraden vom alten Gymnasium war das aber verkraftbar. In der Oberstufe zeigte sich der naturwissenschaftliche Charakter der Schule deutlich. Nicht länger eine zweite Fremdsprache üben und weniger Gesellschaftswissenschaft, dafür aber mehr MINT – ein Tausch, bei dem ich nicht zweimal überlegen musste. Neben dem großen Anteil an naturwissenschaftlichen Stunden im wöchentlichen Pensum ist ebenso positiv hervorzuheben, dass sich einige Lehrer auch außerschulisch für interessierte SchülerInnen Zeit nehmenund diese zusätzlich fördern und unterstützen. Je nach gewählter Spezialisierung gehen die im Unterricht vermittelten Inhalte über den Lehrplan hinaus und ermöglichen das Kennenlernen neuer, eigentlich erst im Studium relevanter Konzepte und sorgen für ein tieferes Verständnis im MINT-Bereich. Auf ein Studium nach der Schule ist man damit zweifelsohne bestens vorbereitet.
Schlussendlich bin ich wirklich froh darüber, damals die Schule gewechselt zu haben und würde es immer wieder tun, stünde ich erneut vor der Entscheidung. Abschließend möchte ich jedem naturwissenschaftlich interessierten, ausdauernden, aber immer noch zweifelnden Lernenden empfehlen, dem CZG eine Chance zu geben. Für mich war es damals eine lebenswegverändernde Entscheidung.
Melia
[9. bis 12. Klasse, in der Oberstufe Chemie mit sechs Wochenstunden]
In meiner Zeit an meinem alten Gymnasium fiel ich durch sehr gute Leistungen und erfolgreiche Teilnahmen an verschiedenen Wettbewerben in den naturwissenschaftlichen Fächern und Mathematik auf. Daher empfahl mir mein ehemaliger Mathelehrer, welcher mit dem damaligen Schulleiter des Carl-Zeiss-Gymnasiums in Kontakt stand und schon andere Schüler meiner Schule an das Spezialgymnasium „übermittelte“, nach Jena zu wechseln. Überzeugen konnte mich aber erst einer dieser bereits „übermittelten“ Schüler, welchen ich zufälligerweise bei der Fahrschule in meinem Heimatort traf. Somit entschied ich mich, diesen großen Schritt zu wagen.
Im Internat wurde ich herzlich aufgenommen, wenn auch mit teils interessanten Ritualen. Auch in der Klasse fand ich schnell Anschluss, auch wenn ich wohl nie so dazugehört habe wie andere, welche sich schon seit Klasse 5 kennen. Mein Freundeskreis bestand weiterhin aus den damaligen Klassenkameraden von zu Hause, welche ich nun leider nur noch am Wochenende sehen konnte.
Die Schule stellte sich als größere Herausforderung heraus, als ich zuerst erwartet hatte, da neben den Naturwissenschaften und Mathe auch die gesellschaftswissenschaftlichen Fächer sowie die Sprachen mehr Zeit in Anspruch nahmen, als das noch an meiner alten Schule der Fall war. Da aber die Motivation der Klassenkameradenbeachtlich hoch ist, zieht man vor allem im Internat von ganz automatisch mit. Ein Leistungsdruck war deutlich zu spüren, aber, zumindest in meinem Fall, nie so enorm, dass es mir Probleme bereitet hat.
Für mich ist die Frage, ob ich wieder wechseln würde, schwierig zu beantworten. Zum einen musste ich, was das soziale Umfeld angeht, etliches zurücklassen, bekam mehr Stress und hatte weniger Freizeit. Andererseits erhielt ich dafür eine ausgezeichnete Schulbildung, die mir im späteren Leben sicherlich Vorteile verschaffen wird.
Wer also großes Interesse an den Naturwissenschaften und der Mathematik zeigt und wem ein paar Überstunden nichts ausmachen, der sollte die Chance nutzen, um sein volles Potenzial entfalten zu können.
Philipp
[Klasse 8B im Schuljahr 2022/23]
Wer bleibt? – die Prüfung in Klasse 8
Bereits seit der 7. Klasse wurden wir darauf vorbereitet – auf das Auswahlverfahren in Klasse 8, die „Auslese“ für die Spezialklassen an unserer Schule. Am Carl-Zeiss-Gymnasium Jena gibt es ab der 9. Klasse die Spezialklassen, doch wer diese besuchen möchte, der muss sich durch eine Prüfung hierzu qualifizieren. Bereits zum Gymnasialübertritt fand ein sogenanntes „Aufnahmegespräch“ statt, dadurch wurde schon eine grobe Auswahl der Schülerschaft getroffen, welche von den Klassenstufen 5–8 unsere Schule besuchen durften. Doch in diesen Klassenstufen orientiert sich das CZG weitgehend an den vorgegebenen Lehrplänen des Freistaats Thüringen, außer den Pflicht-Arbeitsgemeinschaften, welche ab Klasse 7 zu den „wahlweise obligatorischen Unterrichten“ (woU) mit einer Wochenstunde werden und der Besonderheit des Physikunterrichts ab Klasse 6. Aber um in die richtigen Spezialklassen zu gelangen, muss noch eine richtige Prüfung absolviert werden. Geraume Zeit vor dem ersten, schriftlichen Prüfungstermin fand eine Informationsveranstaltung mit dem Prüfungsverfahrensverantwortlichen, Herrn Koch, statt, um alle verbliebenen Fragen zu klären. Daraus ging unter anderem hervor, dass man in dem Prüfungsverfahren nur in frei wählbaren zwei der drei naturwissenschaftlichen Fächern getestet wurde.
In der Woche vor dem „ungewissen Samstag“ machte sich in der Klasse eine allgemeine angespannte Stimmung breit, dazu trug vermutlich auch die Informationsflut bei, der wir von allen Seiten ausgesetzt waren. Frisch gestärkt mit einem kleinen „Aufregungssenker“ namens Kinderriegel starteten wir in den erlebnisreichen Samstag. Man muss dazu wissen, dass bei der Prüfung auf zwei 30-minütige und hilfsmittelfreie Prüfungsteile im Fach Mathematik, sowie nach einer kurzen Pause ein halbstündiger Prüfungsteil in einem ersten gewählten naturwissenschaftlichen Teil folgte. Nach einer weiteren kurzen Pause musste noch einmal eine halbe Stunde geschwitzt werden, diesmal über dem zweiten gewählten naturwissenschaftlichen Fach. Im Fach Physik war zudem auch nur der Taschenrechner als Hilfestellung erlaubt.
Und wieder war es ein Samstag und an diesem Samstag wurde nun eines der Prüfungsfächer, also Mathematik, Physik, Chemie oder Biologie nachgeprüft – verpflichtend für alle, anders als in den letzten Jahren. Nachdem in 20 Minuten eine kniffelige Problemstellung zu lösen war, bei der es aber vor allem auf die Teamfähigkeit ankam, wurde mit der Gruppe eine 10-minütige Präsentation abgehalten und die Prüfer notierten sich vor allem zu jedem die Vortragsweise und das Verhalten in dieser Situation.
Nachdem auch diese Hürde geschafft war, warten wir nun auf das von der Prüfungskommission zusammengestellte Ergebnis, in welches natürlich die beiden Prüfungen, aber auch die Teilnahme an Wettbewerben und die Zensuren der letzten beiden Zeugnisse, also dem Halbjahr Klasse 8 und dem Schuljahr Klasse 7, einfließen. Für die Registrierung der Wettbewerbserfolge wurde im Vorhinein eine Tabelle ausgefüllt.
Mein Fazit sagt aus: Der damalige Neuntklässler hatte Recht behalten, es ist nicht so schlimm, wie es sich anhört. Auch das vielbetonte Lernen kann getrost auf ein Minimum zurückgefahren werden, sofern man im Unterricht immer interessiert lauscht und sich am Unterrichtsgeschehen rege beteiligt. Man glaubt es kaum, doch das bloße interessierte Aufpassen während einer fachlichen Diskussion wirkt tiefgründiger als jedes Pauken nach der Schule.